Mojokerto, Lintaspena.com – Penetapan dana desa (DD) tahun anggaran 2025 dari Kementerian Keuangan RI untuk Kabupaten Mojokerto Provinsi Jawa Timur, mencapai total Rp 294,5 Miliar.
Besaran nilai bujet tersebut dialokasikan untuk 299 desa, yang bisa digunakan dalam pembangunan infrastruktur diwilayahnya.
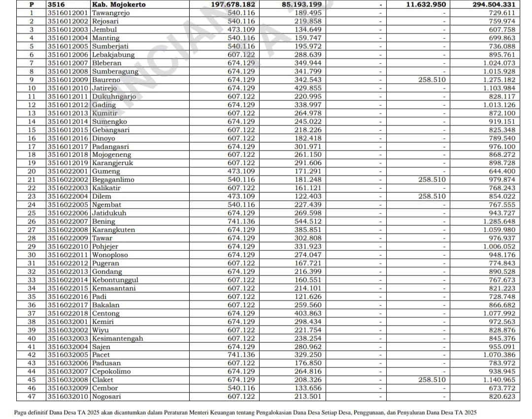
Berikut daftar rincian lengkap transfer pembagian DD per desa TA 2025 di Kabupaten Mojokerto :
KECAMATAN JATIREJO
001. Tawangrejo Rp 729.611.000,-
002. Rejosari Rp 759.974.000,-
003. Jembul Rp 607.758.000,-
004. Manting Rp 699.863.000,-
005. Sumberjati Rp 736.088.000,-
006. Lebakjabung Rp 895.761.000,-
007. Bleberan Rp 1.024.073.000,-
008. Sumberagung Rp 1.015.928.000,-
009. Baureno Rp 1.275.182.000,-
010. Jatirejo Rp 1.103.984.000,-
011. Dukuhngarjo Rp 828.117.000,-
012. Gading Rp 1.013.126.000,-
013. Kumitir Rp 872.100.000,-
014. Sumengko Rp 919.151.000,-
015. Gebangsari Rp 825.348.000,-
016. Dinoyo Rp 789.540.000,-
017. Padangasri Rp 976.100.000,-
018. Mojogeneng Rp 868.272.000,-
019. Karangjeruk Rp 898.728.000,-
KECAMATAN GONDANG
020. Gumeng Rp 644.400.000,-
021. Begaganlimo Rp 979.874.000,-
022. Kalikatir Rp 768.243.000,-
023. Dilem Rp 854.022.000,-
024. Ngembat Rp 767.555.000,-
025. Jatidukuh Rp 943.727.000,-
026. Bening Rp 1.285.648.000,-
027. Karangkuten Rp 1.059.980.000,-
028. Tawar Rp 976.937.000,-
029. Pohjejer Rp 1.006.052.000,-
030. Wonoploso Rp 948.176.000,-
031. Pugeran Rp 774.843.000,-
032. Gondang Rp 890.528.000,-
033. Kebontunggul Rp 767.673.000,-
034. Kemasantani Rp 821.223.000,-
035. Padi Rp 728.748.000,-
036. Bakalan Rp 866.682.000,-
037. Centong Rp 1.077.992.000,-
KECAMATAN PACET
038. Kemiri Rp 972.563.000,-
039. Wiyu Rp 828.876.000,-
040. Kesimantengah Rp 845.376.000,-
041. Sajen Rp 955.091.000,-
042. Pacet Rp 1.070.386.000,-
043. Padusan Rp 783.972.000,-
044. Cepokolimo Rp 938.945.000,-
045. Claket Rp 1.140.965.000,-
046. Cembor Rp 673.772.000,-
047. Nogosari Rp 820.623.000,-
048. Kembangbelor Rp 775.887.000,-
049. Mojokembang Rp 702.167.000,-
050. Bendunganjati Rp 1.157.504.000,-
051. Petak Rp 960.809.000,-
052. Candiwatu Rp 1.063.986.000,-
053. Warugunung Rp 904.181.000,-
054. Tanjungkenongo Rp 1.049.427.000,-
055. Sumberkembar Rp 915.698.000,-
056. Kuripansari Rp 842.535.000,-
057. Pandanarum Rp 718.962.000,-
KECAMATAN TRAWAS
058. Ketapanrame Rp 987.772.000,-
059. Trawas Rp 882.428.000,-
060. Selotapak Rp 772.986.000,-
061. Tamiajeng Rp 864.566.000,-
062. Kesiman Rp 1.153.556.000,-
063. Belik Rp 724.302.000,-
064. Duyung Rp 745.773.000,-
065. Penanggungan Rp 1.081.650.000,-
066. Kedungudi Rp 704.996.000,-
067. Sukosari Rp 900.092.000,-
068. Jatijejer Rp 788.112.000,-
069. Sugeng Rp 676.844.000,-
070. Seloliman Rp 814.401.000,-
KECAMATAN NGORO
071. Srigading Rp 804.741.000,-
072. Kesemen Rp 804.555.000,-
073. Kutogirang Rp 951.236.000,-
074. Lolawang Rp 1.041.226.000,-
075. Wotanmasjedong Rp 1.176.079.000,-
076. Tanjangrono Rp 941.732.000,-
077. Kunjorowesi Rp 1.732.144.000,-
078. Manduro Manggunggajah Rp 1.138.870.000,-
079. Wonosari Rp 1.025.137.000,-
080. Ngoro Rp 1.026.250.000,-
081. Sedati Rp 936.986.000,-
082. Purwojati Rp 1.329.613.000,-
083. Jasem Rp 1.046.662.000,-
084. Sukoanyar Rp 688.211.000,-
085. Bandarasri Rp 919.754.000,-
086. Kembangsri Rp 883.619.000,-
087. Candiharjo Rp 812.544.000,-
088. Watesnegoro Rp 1.377.538.000,-
089. Tambakrejo Rp 681.602.000,-
KECAMATAN PUNGGING
090. Purworejo Rp 803.856.000,-
091. Mojorejo Rp 1.121.857.000,-
092. Curahmojo Rp 790.821.000,-
093. Sekargadung Rp 1.166.914.000,-
094. Tempuran Rp 801.573.000,-
095. Jatilangkung Rp 751.230.000,-
096. Banjartanggul Rp 999.590.000,-
097. Kalipuro Rp 909.152.000,-
098. Randuharjo Rp 988.211.000,-
099. Kembangringgit Rp 1.022.878.000,-
100. Pungging Rp 1.138.633.000,-
101. Lebaksono Rp 885.605.000,-
102. Tunggalpager Rp 1.350.099.000,-
103. Balongmasin Rp 932.474.000,-
104. Jabontegal Rp 769.878.000,-
105. Kedungmungal Rp 924.119.000,-
106. Watukenongo Rp 1.063.367.000,-
107. Ngrame Rp 866.624.000,-
108. Bangun Rp 858.764.000,-
KECAMATAN KUTOREJO
109. Payungrejo Rp 1.152.570.000,-
110. Simbaringin Rp 915.404.000,-
111. Sampangagung Rp 1.086.161.000,-
112. Jiyu Rp 1.267.577.000,-
113. Pesanggrahan Rp 1.191.160.000,-
114. Windurejo Rp 984.422.000,-
115. Kertosari Rp 976.316.000,-
116. Kepuharum Rp 869.418.000,-
117. Gedangan Rp 989.618.000,-
118. Kutorejo Rp 893.498.000,-
119. Karangdiyeng Rp 1.361.648.000,-
120. Sawo Rp 1.150.000.000,-
121. Wonodadi Rp 947.339.000,-
122. Singowangi Rp 936.704.000,-
123. Kepuhpandak Rp 1.005.431.000,-
124. Karangasem Rp 879.156.000,-
125. Kaligoro Rp 1.009.817.000,-
KECAMATAN MOJOSARI
126. Sumbertanggul Rp 1.276.580.000,-
127. Belahantengah Rp 1.227.017.000,-
128. Awang-awang Rp 906.272.000,-
129. Seduri Rp 1.088.470.000,-
130. Mojosulur Rp 1.059.964.000,-
131. Randubango Rp 991.663.000,-
132. Jotangan Rp 937.658.000,-
133. Menanggal Rp 994.459.000,-
134. Pekukuhan Rp 1.019.290.000,-
135. Modopuro Rp 1.045.030.000,-
136. Kebondalem Rp 977.765.000,-
137. Kedunggempol Rp 827.955.000,-
138. Ngimbangan Rp 996.188.000,-
139. Leminggir Rp 905.846.000,-
KECAMATAN DLANGGU
140. Punggul Rp 1.377.989.000,-
141. Kalen Rp 996.572.000,-
142. Kedunggede Rp 1.201.916.000,-
143. Mojokarang Rp 1.218.041.000,-
144. Segunung Rp 930.224.000,-
145. Talok Rp 1.528.102.000,-
146. Sumbersono Rp 847.191.000,-
147. Sambilawang Rp 1.073.273.000,-
148. Jrambe Rp 1.118.880.000,-
149. Randugenengan Rp 924.881.000,-
150. Pohkecik Rp 917.330.000,-
151. Dlanggu Rp 859.505.000,-
152. Ngembeh Rp 985.376.000,-
153. Sumberkarang Rp 980.150.000,-
154. Kedunglengkong Rp 770.031.000,-
155. Tumapel Rp 834.804.000,-
KECAMATAN BANGSAL
156. Pacing Rp 788.268.000,-
157. Sumberwono Rp 850.722.000,-
158. Kedunguneng Rp 834.789.000,-
159. Kutoporong Rp 858.777.000,-
160. Ngastemi Rp 963.752.000,-
161. Peterongan Rp 786.864.000,-
162. Bangsal Rp 886.043.000,-
163. Sumbertebu Rp 909.530.000,-
164. Sidomulyo Rp 754.992.000,-
165. Gayam Rp 806.478.000,-
166. Tinggarbuntut Rp 819.576.000,-
167. Pekuwon Rp 950.021.000,-
168. Salen Rp 939.356.000,-
169. Mejoyo Rp 804.144.000,-
170. Ngrowo Rp 1.346.338.000,-
171. Puloniti Rp 763.446.000,-
172. Mojotamping Rp 992.777.000,-
KECAMATAN PURI
173. Tampungrejo Rp 1.213.739.000,-
174. Plososari Rp 1.116.605.000,-
175. Kintelan Rp 937.505.000,-
176. Brayung Rp 955.703.000,-
177. Ketemasdungus Rp 833.856.000,-
178. Puri Rp 995.765.000,-
179. Tangunan Rp 775.668.000,-
180. Kebonagung Rp 1.193.960.000,-
181. Sumbergirang Rp 1.196.530.000,-
182. Mlaten Rp 1.273.450.000,-
183. Medali Rp 991.544.000,-
184. Balongmojo Rp 1.192.718.000,-
185. Sumolawang Rp 1.251.055.000,-
186. Tambakagung Rp 1.091.701.000,-
187. Banjaragung Rp 1.199.881.000,-
188. Kenanten Rp 1.147.843.000,-
KECAMATAN TROWULAN
189. Jambuwok Rp 1.009.265.000,-
190. Domas Rp 1.139.729.000,-
191. Beloh Rp 1.044.566.000,-
192. Temon Rp 1.383.319.000,-
193. Pakis Rp 1.214.324.000,-
194. Sentonorejo Rp 975.461.000,-
195. Trowulan Rp 1.285.822.000,-
196. Bejijong Rp 1.040.912.000,-
197. Kejagan Rp 1.140.496.000,-
198. Jatipasar Rp 934.019.000,-
199. Watesumpak Rp 1.335.754.000,-
200. Wonorejo Rp 1.165.651.000,-
201. Panggih Rp 939.554.000,-
202. Tawangsari Rp 932.753.000,-
203. Bicak Rp 1.120.018.000,-
204. Balongwono Rp 1.036.844.000,-
KECAMATAN SOOKO
205. Gemekan Rp 1.205.567.000,-
206. Blimbingsari Rp 1.074.683.000,-
207. Brangkal Rp 923.087.000,-
208. Kedungmaling Rp 1.097.023.000,-
209. Klinterejo Rp 930.506.000,-
210. Modongan Rp 1.118.773.000,-
211. Sambiroto Rp 994.760.000,-
212. Jampirogo Rp 858.290.000,-
213. Japan Rp 1.190.419.000,-
214. Sooko Rp 1.333.275.000,-
215. Wringinrejo Rp 985.925.000,-
216. Karangkedawang Rp 1.011.689.000,-
217. Mojoranu Rp 974.885.000,-
218. Tempuran Rp 800.736.000,-
219. Ngingasrembyong Rp 1.005.632.000,-
KECAMATAN GEDEG
220. Ngareskidul Rp 966.404.000,-
221. Gembongan Rp 934.007.000,-
222. Gempolkerep Rp 872.288.000,-
223. Bandung Rp 995.606.000,-
224. Gedeg Rp 1.057.101.000,-
225. Pagerluyung Rp 972.857.000,-
226. Kemantren Rp 1.345.235.000,-
227. Terusan Rp 1.027.819.000,-
228. Sidoharjo Rp 1.158.253.000,-
229. Balongsari Rp 856.293.000,-
230. Batankrajan Rp 920.147.000,-
231. Pagerjo Rp 901.257.000,-
232. Jerukseger Rp 1.231.175.000,-
233. Beratwetan Rp 1.109.315.000,-
KECAMATAN KEMLAGI
234. Watesprojo Rp 783.905.000,-
235. Betro Rp 1.032.419.000,-
236. Kedungsari Rp 1.086.761.000,-
237. Mojojajar Rp 1.022.678.000,-
238. Beratkulon Rp 1.160.489.000,-
239. Mojosarirejo Rp 1.103.295.000,-
240. Mojowiryo Rp 820.698.000,-
241. Mojowatesrejo Rp 767.172.000,-
242. Mojogebang Rp 935.588.000,-
243. Mojopilang Rp 1.329.314.000,-
244. Mojokusumo Rp 822.876.000,-
245. Japanan Rp 1.122.724.000,-
246. Mojokumpul Rp 894.440.000,-
247. Tanjungan Rp 995.477.000,-
248. Mojorejo Rp 1.021.934.000,-
249. Mojodadi Rp 928.716.000,-
250. Kemlagi Rp 789.582.000,-
251. Mojowono Rp 833.967.000,-
252. Pandankrajan Rp 852.816.000,-
253. Mojodowo Rp 928.527.000,-
KECAMATAN JETIS
254. Mlirip Rp 1.334.485.000,-
255. Penompo Rp 1.221.703.000,-
256. Canggu Rp 1.513.266.000,-
257. Ngabar Rp 1.443.631.000,-
258. Banjarsari Rp 1.105.714.000,-
259. Sawo Rp 951.443.000,-
260. Mojorejo Rp 990.893.000,-
261. Jolotundo Rp 1.113.949.000,-
262. Kupang Rp 1.369.354.000,-
263. Bendung Rp 1.042.541.000,-
264. Mojolebak Rp 1.327.909.000,-
265. Parengan Rp 932.390.000,-
266. Jetis Rp 1.346.146.000,-
267. Perning Rp 898.988.000,-
268. Sidorejo Rp 966.881.000,-
269. Lakardowo Rp 928.625.000,-
KECAMATAN DAWARBLANDONG
270. Cendoro Rp 935.561.000,-
271. Simongagrok Rp 968.393.000,-
272. Sumberwuluh Rp 822.552.000,-
273. Talunblandong Rp 858.624.000,-
274. Cinandang Rp 816.375.000,-
275. Gunungsari Rp 1.207.010.000,-
276. Dawarblandong Rp 810.678.000,-
277. Pulorejo Rp 902.969.000,-
278. Jatirowo Rp 800.256.000,-
279. Suru Rp 808.098.000,-
280. Bangeran Rp 906.897.000,-
281. Pucuk Rp 940.598.000,-
282. Banyulegi Rp 835.047.000,-
283. Gunungan Rp 885.600.000,-
284. Brayublandong Rp 1.179.473.000,-
285. Madureso Rp 797.859.000,-
286. Temuireng Rp 906.185.000,-
287. Randegan Rp 779.757.000,-
KECAMATAN MOJOANYAR
288. Sadartengah Rp 1.174.700.000,-
289. Lengkong Rp 1.115.683.000,-
290. Kepuhanyar Rp 1.256.129.000,-
291. Sumberjati Rp 923.345.000,-
292. Gebangmalang Rp 948.812.000,-
293. Jabon Rp 999.376.000,-
294. Ngarjo Rp 916.673.000,-
295. Wunut Rp 998.504.000,-
296. Kwedenkembar Rp 823.431.000,-
297. Jumeneng Rp 1.180.772.000,-
298. Kwatu Rp 1.081.650.000,-
299. Gayaman Rp 1.108.123.000,-
Pewarta : Agung Ch
Sumber : Kementerian Keuangan
Penetapan Dana Desa 2025 Kabupaten Mojokerto: Total RP 294,5 Milliar Untuk 299 Desa








Tidak ada Respon